Policz, jaka jest wartość siły, z jaką 50-kilogramowa osoba naciska na oparcie fotela karuzeli, która wiruje z częstotliwością 0,2 Hz, a jej promień to 2 m.
Rozwiązanie
R = 2 m
m = 50 kg
f = 0,2 Hz.
Wyjaśnienie
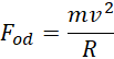
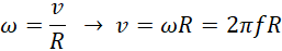
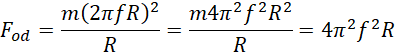
Wyznaczasz wartość siły odśrodkowej ze wzoru na siłę odśrodkową, przy czym wykorzystujesz dodatkowo zależność pomiędzy prędkością kątową a prędkością liniową.