Zadanie

Na gładką 8-metrową rynnę wrzucono drewniany klocek, któremu nadano początkową prędkość 1 . Rynna jest oparta o rampę i z poziomem tworzy kąt 30º. Wyznacz, jaka będzie prędkość końcowa klocka oraz policz, jak długo będzie się poruszał. W zadaniu masz pominąć opory ruchu.

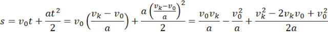
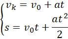
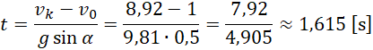
Rozwiązanie

Wyjaśnienie

Zadania z tego działu
4. Ruch i siły
113