Zadanie

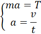
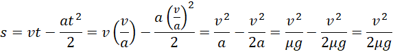
Oblicz, ile wynosi współczynnik tarcia statycznego między oponami a hamującym samochodem, jeśli jechał on z prędkością 72 i hamował na drodze 32 m.

Rozwiązanie

Wyjaśnienie

Zadania z tego działu
4. Ruch i siły
113