f = 0,2 Hz
l = 10 cm
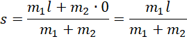
Odp. Środek większej kulki znajduje się 3 cm od środka tarczy.
Tarcza kręci się jednostajnie z określoną częstotliwością, czyli jej prędkość jest stała. Oznacza to, że działające na tarczę siły się równoważą. Wynika z tego, że środek masy całego układu znajduje się w środku tarczy. Wyznacz, jaka jest odległość większej kulki od tego środka, zatem najwygodniej będzie, jeśli przyjmiesz, że układ współrzędnych rozpoczyna się w środku większej kulki i skierowany jest w stronę mniejszej kulki, przechodząc przez środek tarczy. Następnie wykorzystujesz wzór na środek masy układu.