Zadanie

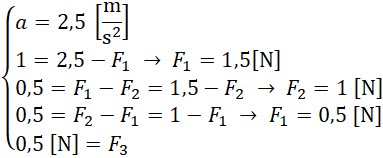
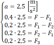
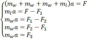
Na rysunku przedstawiono lokomotywę, która jest ciągnięta przez dziecko z siłą 2,5 N. Masa wagonika to 200 g, a masa lokomotywy to 400 g. Twoim zadaniem jest wyznaczyć naprężenia sznurka pomiędzy wagonikami 3 i 2, 2 i 1 oraz wagonikiem 1 a lokomotywą. Następnie porównaj te siły ze sobą.

Rozwiązanie

Wyjaśnienie

Zadania z tego działu
4. Ruch i siły
113