φ = 45°
m = 10 t
g = 9,81
Siła ciężkości:
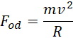
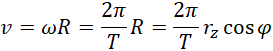
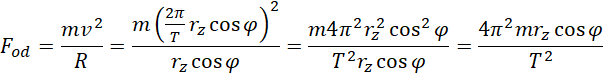
Siła odśrodkowa – kierunek prostopadły do osi obrotu Ziemi, zwrot do powierzchni Ziemi:
Siła – składowa prostopadła do siły Coriolisa:
Siła Coriolisa – skierowana na wschód:
Siła nacisku na szyny:
Na pociąg działa siła odśrodkowa, siła ciężkości oraz siła Coriolisa. Wyznacz poszczególne wartości. Siła nacisku na szyny to wypadkowa prostopadłej składowej siły Coriolisa i siły Coriolisa, przy czym prostopadła składowa siły to siła wypadkowa siły ciężkości oraz siły odśrodkowej. Promień, który uwzględniasz w obliczeniach to nie promień Ziemi, a promień od osi obrotu, którego długość zależy od szerokości geograficznej.