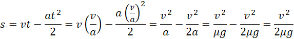
s = 25 m
Droga:
Wartość siły tarcia to wartość siły nacisku pomnożona przez współczynnik tarcia. Jest to siła, która będzie hamowała samochód. Przekształcasz następnie wzór na drogę tak, aby uzyskać prędkość.