Zadanie

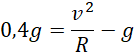
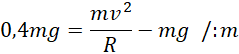
Samolot wykonuje pętle w pionie o promieniu 400 m. W najwyższym etapie akrobacji pilot naciska na fotel siłą, która jest równa 0,4 siły ciężkości pilota. Twoim zadaniem jest obliczyć, jaka była prędkość samolotu w tym momencie, a także wyznaczyć, przy jakiej prędkości pilot odczuje stan nieważkości.

Rozwiązanie

Wyjaśnienie

Zadania z tego działu
4. Ruch i siły
113