II zasada dynamiki dla pierwszej szalki:
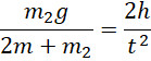
II zasada dynamiki dla drugiej szalki:
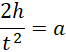
Wyznaczenie przyspieszenia:
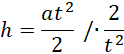
Wyznaczenie pokonanej drogi:
Porównanie wartości przyspieszenia:
Szukana masa:
Sytuację opisaną w zadaniu przedstawiono na rysunku. Zapisz II zasadę dynamiki Newtona dla każdej szalki. Z pierwszego równania wyodrębnij siłę naciągu linki, którą wykorzystasz w drugim równaniu po to, aby wyznaczyć przyspieszenie układu. Zauważ, że przyspieszenie układu można również wyznaczyć za pomocą wzoru na drogę w ruchu przyspieszonym. Porównując wyznaczone w ten sposób przyspieszenie, otrzymujesz równanie, z którego możesz wyznaczyć masę dołożonego obciążenia.