Zadanie

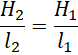
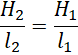
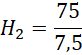
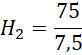
W tym zadaniu musisz przypomnieć obliczyć wysokość drzewa, jeśli wiadomo, że rzuca ono cień o wysokości 15 m, a obok znajduje się dom o wysokości 5 m, rzucający cień o wysokości 7,5 m.

Rozwiązanie

Wyjaśnienie

Zadania z tego działu
6. Optyka
203
6.1 Światło i jego właściwości
204
6.2 Prostoliniowe rozchodzenie się światła
207
6.5 Zwierciadła kuliste i ich zastosowanie
219
6.6 Obrazy wytworzone przez zwierciadła kuliste
222
6.8 Przejście światła przez pryzmat
230
6.9 Zjawiska optyczne w przyrodzie
233
6.10 Rodzaje i właściwości soczewek
235
6.11 Otrzymywanie obrazów za pomocą soczewek
238
6.12 Konstrukcyjne wyznaczanie obrazów otrzymanych w soczewkach
240