W tym zadaniu musisz obliczyć, jaka jest zdolność skupiająca soczewki rozpraszające, której ogniskowa wynosi 25 cm.
E. -4 D
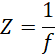
Soczewka jest soczewką wklęsłą, zatem f = -25 cm = -0,25 m
Aby obliczyć zdolność skupiającą soczewki skorzystaj ze wzoru:
Zdolność skupiająca tej soczewki wynosi -2 D.
Pytanie 1
Pytanie 2
Pytanie 3
Pytanie 4
Pytanie Podejmij temat 1
Zadanie 1
Zadanie 2
Zadanie 3
Podpunkt a)
Podpunkt b)
Podpunkt c)
Podpunkt d)
Podpunkt e)
Podpunkt f)
Pytanie Podejmij temat 2
Podpunkt 1
Podpunkt 2
Zadanie 5
Zadanie 6
Pytanie 7
Zadanie 8
Pytanie 9
Pytanie 10
Pytanie 11
Pytanie 12
Pytanie 13
Pytanie 14
Pytanie 15
Pytanie 16