Dane:
R = 6400 km = 6 400 000 m
m = 5,97 ∙ 1024 kg
T = 24 h = 86 400 s
z tablic:
moment bezwładności kuli:
Odpowiedź: Moment bezwładności Ziemi wynosi
Odpowiedź: Moment pędu Ziemi ma wartość
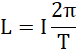
W tablicach na końcu zbioru zadań odszukaj wzór na moment bezwładności kuli. Upewnij się, że wartości podane są w jednostkach podstawowych, wstaw je i wykonaj konieczne obliczenia. Aby poznać moment pędu Ziemi, należy pomnożyć moment bezwładności i prędkość liniową – nie jest ona podana, więc zapisz ją najpierw jako iloczyn 2π oraz częstotliwości, którą z kolei możesz zapisać jako odwrotność okresu.