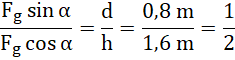
Dane:
d = 80 cm = 0,8 m
h = 160 cm = 1,6 m
niech:
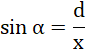
x – przekątna przekroju beczki
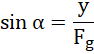
y – wektor wypadkowy sił (niebieski)
z – przerywany odcinek łączący końce wektora siły ciężkości i wektora wypadkowego sił
zbadajmy przypadek, w którym momenty sił się równoważą (przypadek graniczny):
co daje:
co daje:
więc:
z podobieństwa trójkątów:
Beczka przewróci się, gdy