Dane:
M = 24 kg
D= 1,8 m
n1 = 10 obrotów na minutę
r = 0,8 m
mp = 2 kg
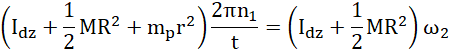
niech:
więc:
Odpowiedź: Prędkość kątowa karuzeli wyniosła
Na układ nie działa żaden moment siły, więc moment pędu (iloczyn momentu bezwładności i prędkości kątowej) jest stały. Oznacza to, że iloczyny są sobie równe w każdej z przedstawionej sytuacji położenia piłki. Zapisz moment bezwładności w każdej z sytuacji – dodaj do siebie moment bezwładności dziecka, tarczy oraz piłki (traktujemy ją jako punkt materialny, gdy znajduje się na środku karuzeli Ip = 0). Wstaw zebrane wyrażenia do równości iloczynów i zapisz prędkość kątową na początku ruchu jako iloczyn 2π i częstotliwości. Wyznacz wartość prędkości kątowej w momencie, gdy piłka znajduje się na środku karuzeli. Jeżeli dla ułatwienia obliczeń średnica tarczy została przez Ciebie zastąpiona przez promień karuzeli (tak jak w rozwiązaniu), nie zapomnij powrócić do danej z treści, zwróć uwagę, jaki ułamek pojawi się przed iloczynem – jedną drugą należy podnieść do kwadratu i pomnożyć przez jedną drugą ze wzoru na moment bezwładności.