Dane:
m = 1500 kg
H = 5,4 m
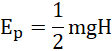
Z zasady zachowania energii:
czyli:
moment bezwładności pręta:
Odpowiedź: Górny koniec bala osiągnął prędkość liniową równą 12,6
Na początku górny koniec bala posiada jedynie energię potencjalną, która po podcięciu wraz z upadkiem przekształca się w energię kinetyczną ruchu obrotowego względem dolnego końca bala. Z zasady zachowania energii, wartości te są sobie równe. Odszukaj w tabeli na końcu zbioru zadań wzór na moment bezwładności pręt, którego oś obrotu biegnie przez jego koniec. Po przyrównaniu do siebie wyrażeń wyznacz i wylicz prędkość kątową. Następnie zapisz związek między nią a prędkością liniową – jest to iloczyn prędkości liniowej i promienia, w naszym przypadku – wysokości bala.