Dane:
n = 850 obrotów na minutę
∆t = 21 s
Odpowiedź: Zatrzymanie się bębna pralki powoduje moment siły o wartości 8,5 Nm.
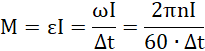
Z drugiej zasady dynamiki dla ruchu obrotowego bryły sztywnej, przyspieszenie kątowe jest równe ilorazowi wypadkowej momentów sił i momentu bezwładności bryły. Wyznacz z równości moment siły. Ponadto przyspieszenie kątowe to iloraz prędkości kątowej i czasu ruchu. Z kolei prędkość kątowa to iloczyn 2π oraz liczby obrotów na sekundę (częstotliwości). Z zebranych danych wyznacz i wylicz wartość momentu siły tarcia.