Skul.pl
  • Opracowania zadań z podręczników
  • Fizyka. Klasa 8. Podręcznik - rozwiązania i odpowiedzi
  • Pytanie 3

Fizyka. Klasa 8. Podręcznik - rozwiązania i odpowiedzi

Podręcznik, Wydawnictwo: MAC
Poprzednie

Pytanie 3 - strona 57

Następne

Zadanie

W tym zadaniu musisz podać wzory na okres i częstotliwość ruchu drgającego.

Rozwiązanie

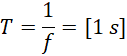
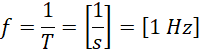
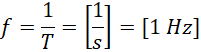
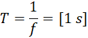
Okres drgań (T) to czas podany w sekundach, w jakim ciało wykonuje jedno pełne drgnięcie. Częstotliwość drgań (f) jest jego odwrotnością.

Skul

Wyjaśnienie

Okres drgań (T) to czas podany w sekundach, w jakim ciało wykonuje jedno pełne drgnięcie. Częstotliwość drgań (f) wyrażana w Hz jest odwrotnością okresu i mówi o liczbie pełnych drgań wykonanych w czasie 1 sekundy.

Poprzednie
Następne

Fizyka - wybrane pytania

Zadanie 3, strona 56, To jest fizyka. Klasa 7. Podręcznik - rozwiązania i odpowiedzi
Ćwiczenie Doświadczenie, strona 206, To jest fizyka. Klasa 7. Podręcznik - rozwiązania i odpowiedzi
Zadanie 5., strona 97, Fizyka. Fizyka z plusem. Klasa 7. Podręcznik - rozwiązania i odpowiedzi
Ćwiczenie 4., strona 130, Fizyka. Klasa 8. Zeszyt ćwiczeń - rozwiązania i odpowiedzi
Pytanie 4., strona 82, Fizyka z plusem. Klasa 8. Podręcznik - rozwiązania i odpowiedzi
Ćwiczenie 4., strona 96, Fizyka. Świat fizyki. Klasa 8. Zeszyt ćwiczeń - rozwiązania i odpowiedzi
Pytanie 5, strona 169, Fizyka. Klasa 8. Podręcznik - rozwiązania i odpowiedzi
Zadanie 4., strona 122, Fizyka. Klasa 1. Podręcznik. Zakres podstawowy – rozwiązania i odpowiedzi
Zadanie 5, strona 73, Fizyka. Klasa 3. Zakres podstawowy. Podręcznik - rozwiązania i odpowiedzi
Zadanie 4, strona 10, To jest fizyka. Klasa 7. Podręcznik - rozwiązania i odpowiedzi
REKLAMA
Skul
Zadania z tego działu
2. Drgania i fale mechaniczne
57
Drgania i fale mechaniczne
57

Pytanie 1

57

Pytanie 2

57

Pytanie 3

57

Pytanie 4

57

Pytanie 5

57
2.1 Ruch drgający
58

Pytanie Podejmij temat 1

58

Pytanie 1

65

Zadanie 2

65

Zadanie 3

65

Podpunkt a)

65

Podpunkt b)

65

Podpunkt c)

65

Podpunkt d)

65

Podpunkt e)

65

Zadanie 4

65

Zadanie 5

65
2.2 Wahadło matematyczne
66

Pytanie Podejmij temat 1

66

Pytanie Podejmij temat 2

66

Pytanie Podejmij temat 3

66

Pytanie Podejmij temat 4

66

Pytanie Zadanie 1

68

Zadanie 1

74

Podpunkt a)

74

Podpunkt b)

74

Podpunkt c)

74

Podpunkt d)

74

Podpunkt e)

74

Podpunkt f)

74
2.3 Fale mechaniczne
75

Pytanie Podejmij temat 1

75

Zadanie 1

82

Zadanie 2

82

Zadanie 3

82

Zadanie 4

82
2.4 Dźwięki
83

Pytanie Podejmij temat 1

83

Pytanie Podejmij temat 2

83

Pytanie 1

93

Pytanie 2

93

Zadanie 1

94

Zadanie 2

94

Zadanie 3

94
Podsumowanie działu 2
55

Pytanie 1

98

Pytanie 2

98

Zadanie 3

98

Podpunkt 1)

98

Podpunkt 2)

98

Podpunkt 3)

98

Podpunkt 4)

98

Pytanie 4

98

Pytanie 5

98

Pytanie 6

98

Pytanie 7

98

Pytanie 8

98

Pytanie 9

98

Pytanie 10

98
Pełny spis treści
Skul
Artboard 1
Skul.pl
  • Napisz do nas
  • FAQ
  • Mapa Serwisu
  • Google Play
  • App Store

Korzystanie z portalu oznacza akceptację Regulaminu.
Polityka prywatności. Ustawienia preferencji. Copyright: INTERIA.PL 1999-2023 Wszystkie prawa zastrzeżone.