Skul.pl
  • Opracowania zadań z podręczników
  • Fizyka. Klasa 8. Podręcznik - rozwiązania i odpowiedzi
  • Zadanie 2

Fizyka. Klasa 8. Podręcznik - rozwiązania i odpowiedzi

Podręcznik, Wydawnictwo: MAC
Poprzednie

Zadanie 2 - strona 82

Następne

Zadanie

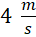
W tym zadaniu musisz obliczyć długość i okres fali o częstotliwości 4 Hz i szybkości oraz narysować jej wykres.

Rozwiązanie

f = 4 Hz

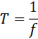
T = ?

λ= ?

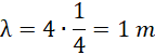
Okres fali jest równy 0,25 sekundy, a jej długość wynosi 1 metr.

Wykres zależności wychylenia od czasu będzie miał postać:

zoom

Skul

Wyjaśnienie

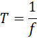
Zacznij od obliczenia okresu, korzystając ze wzoru:

Następnie oblicz długość fali.

Znając te dane, możesz narysować wykres tej fali.

zoom

Poprzednie
Następne

Fizyka - wybrane pytania

Zadanie 8.4.11., strona 113, Zrozumieć fizykę. Klasa 2. Zakres rozszerzony. Zbiór zadań - rozwiązania i odpowiedzi
Ćwiczenie 7.23., strona 7, Świat fizyki. Klasa 8. Zbiór zadań - rozwiązania i odpowiedzi
Zadanie 2.2, strona 102, Fizyka. Klasa 4. Poziom rozszerzony. Podręcznik - rozwiązania i odpowiedzi
Zadanie 1, strona 52, Fizyka. Klasa 8. Podręcznik - rozwiązania i odpowiedzi
Zadanie 11.9., strona 76, Zrozumieć fizykę 3. Zakres rozszerzony. Zbiór zadań - rozwiązania i odpowiedz.
Ćwiczenie Doświadczenie, strona 25, To jest fizyka. Klasa 7. Podręcznik - rozwiązania i odpowiedzi
Zadanie 26., strona 95, Fizyka. Klasa 7-8. Zbiór zadań - rozwiązania i odpowiedzi
Zadanie 20.13, strona 116, Fizyka. Klasa 4. Zakres rozszerzony. Zbiór zadań - rozwiązania i odpowiedzi
Zadanie 1., strona 98, Fizyka. To jest fizyka. Klasa 8. Podręcznik - rozwiązania i odpowiedzi
Pytanie 13., strona 32, Fizyka z plusem. Klasa 8. Podręcznik - rozwiązania i odpowiedzi
REKLAMA
Skul
Zadania z tego działu
2. Drgania i fale mechaniczne
57
Drgania i fale mechaniczne
57

Pytanie 1

57

Pytanie 2

57

Pytanie 3

57

Pytanie 4

57

Pytanie 5

57
2.1 Ruch drgający
58

Pytanie Podejmij temat 1

58

Pytanie 1

65

Zadanie 2

65

Zadanie 3

65

Podpunkt a)

65

Podpunkt b)

65

Podpunkt c)

65

Podpunkt d)

65

Podpunkt e)

65

Zadanie 4

65

Zadanie 5

65
2.2 Wahadło matematyczne
66

Pytanie Podejmij temat 1

66

Pytanie Podejmij temat 2

66

Pytanie Podejmij temat 3

66

Pytanie Podejmij temat 4

66

Pytanie Zadanie 1

68

Zadanie 1

74

Podpunkt a)

74

Podpunkt b)

74

Podpunkt c)

74

Podpunkt d)

74

Podpunkt e)

74

Podpunkt f)

74
2.3 Fale mechaniczne
75

Pytanie Podejmij temat 1

75

Zadanie 1

82

Zadanie 2

82

Zadanie 3

82

Zadanie 4

82
2.4 Dźwięki
83

Pytanie Podejmij temat 1

83

Pytanie Podejmij temat 2

83

Pytanie 1

93

Pytanie 2

93

Zadanie 1

94

Zadanie 2

94

Zadanie 3

94
Podsumowanie działu 2
55

Pytanie 1

98

Pytanie 2

98

Zadanie 3

98

Podpunkt 1)

98

Podpunkt 2)

98

Podpunkt 3)

98

Podpunkt 4)

98

Pytanie 4

98

Pytanie 5

98

Pytanie 6

98

Pytanie 7

98

Pytanie 8

98

Pytanie 9

98

Pytanie 10

98
Pełny spis treści
Skul
Artboard 1
Skul.pl
  • Napisz do nas
  • FAQ
  • Mapa Serwisu
  • Google Play
  • App Store

Korzystanie z portalu oznacza akceptację Regulaminu.
Polityka prywatności. Ustawienia preferencji. Copyright: INTERIA.PL 1999-2023 Wszystkie prawa zastrzeżone.