Skul.pl
  • Opracowania zadań z podręczników
  • Fizyka. Klasa 7-8. Zbiór zadań - rozwiązania i odpowiedzi
  • Zadanie 9.19.

Fizyka. Klasa 7-8. Zbiór zadań - rozwiązania i odpowiedzi

Zbiór zadań, Wydawnictwo: WSiP
Poprzednie

Zadanie 9.19. - strona 122

Następne

Zadanie

W tym zadaniu musisz podać, na jakiej wysokości nad powierzchnią Ziemi ciężar ciała będzie 25 razy mniejszy niż ciężar tego ciała na powierzchni Ziemi.

Rozwiązanie

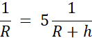
F2 = 25 F1

= 25G /G

= 25 | (interesują nas tylko rozwiązania dodatnie)

5R = R+h

h = 4R = 4 6 400 km = 25 600 km

Skul

Wyjaśnienie

Zadanie to rozwiązujemy przez przyrównanie do siebie siły ciężkości działającej na ciało (ciężaru) na powierzchni Ziemi i na szukanej wysokości.

Poprzednie
Następne

Fizyka - wybrane pytania

Zadanie 3., strona 187, Fizyka. Klasa 1. Podręcznik. Zakres rozszerzony – rozwiązania i odpowiedzi
Zadanie 3, strona 173, Fizyka. Klasa 7. Podręcznik – rozwiązania i odpowiedzi
Zadanie 1., strona 63, Spotkania z fizyką. Klasa 8. Podręcznik - rozwiązania i odpowiedzi
Zadanie 1, strona 45, Fizyka. Klasa 7. Podręcznik – rozwiązania i odpowiedzi
Pytanie 5, strona 115, Fizyka. Klasa 8. Podręcznik - rozwiązania i odpowiedzi
Zadanie 6., strona 88, Fizyka. Klasa 7-8. Zbiór zadań - rozwiązania i odpowiedzi
Zadanie 2., strona 133, Odkryć fizykę. Klasa 2. Podręcznik. Zakres podstawowy - rozwiązania i odpowiedzi
Ćwiczenie 1., strona 131, Fizyka. Klasa 8. Zeszyt ćwiczeń - rozwiązania i odpowiedzi
Ćwiczenie 7.45., strona 10, Świat fizyki. Klasa 8. Zbiór zadań - rozwiązania i odpowiedzi
Zadanie 6., strona 155, Świat fizyki. Klasa 7. Podręcznik - rozwiązania i odpowiedzi
REKLAMA
Skul
Zadania z tego działu
9. Ruch po okręgu. Grawitacja
120
9.1. Ruch po okręgu
120

Zadanie 9.1.

120

Zadanie 9.2.

120

Zadanie 9.3.

120

Zadanie 9.4.

120

Zadanie 9.5.

120

Zadanie 9.6.

121

Zadanie 9.7.

121

Zadanie 9.8.

121

Zadanie 9.9.

121

Zadanie 9.10.

121

Zadanie 9.11.

121

Zadanie 9.12.

122

Zadanie 9.13.

122

Zadanie 9.14.

122
9.2. Ciążenie powszechne
122

Zadanie 9.16.

122

Zadanie 9.17.

122

Zadanie 9.18.

122

Zadanie 9.19.

122

Zadanie 9.20.

122

Zadanie 9.21.

123

Zadanie 9.22.

123

Zadanie 9.23.

123

Zadanie 9.24.

123

Zadanie 9.25.

123

Zadanie 9.26.

123

Zadanie 9.27.

123

Zadanie 9.28.

123

Zadanie 9.29.

124

Podpunkt 1)

124

Podpunkt 2)

124

Zadanie 9.30.

124

Zadanie 9.31.

124

Zadanie 9.32.

124

Zadanie 9.33.

125

Zadanie 9.34.

125
Pełny spis treści
Skul
Artboard 1
Skul.pl
  • Napisz do nas
  • FAQ
  • Mapa Serwisu
  • Google Play
  • App Store

Korzystanie z portalu oznacza akceptację Regulaminu.
Polityka prywatności. Ustawienia preferencji. Copyright: INTERIA.PL 1999-2023 Wszystkie prawa zastrzeżone.