Skul.pl
  • Opracowania zadań z podręczników
  • Fizyka. Klasa 8. Podręcznik - rozwiązania i odpowiedzi
  • Zadanie 3

Fizyka. Klasa 8. Podręcznik - rozwiązania i odpowiedzi

Podręcznik, Wydawnictwo: MAC
Poprzednie

Zadanie 3 - strona 82

Następne

Zadanie

W tym zadaniu musisz obliczyć częstotliwość i okres fali o długości 1,5 m i szybkości .

Rozwiązanie

λ = 1,5 m

f = ?

T = ?

Okres fali wynosi 0,5 sekundy, a jej długość wynosi 2 Hz.

Skul

Wyjaśnienie

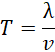
Zacznij od obliczenia okresu fali. Przekształć poniższy wzór:

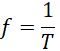
Teraz oblicz częstotliwość fali korzystając ze wzoru

Okres fali wynosi 0,5 sekundy, a jej długość wynosi 2 Hz.

Poprzednie
Następne

Fizyka - wybrane pytania

Zadanie 28, strona 122, Fizyka. Klasy 1-3. Zakres podstawowy. Zbiór zadań - rozwiązania i odpowiedzi
Zadanie 5, strona 217, Spotkania z fizyką. Klasa 7. Podręcznik - rozwiązania i odpowiedzi
Zadanie 8.14., strona 40, Fizyka. Klasa 1. Zbiór zadań. Zakres rozszerzony – rozwiązania i odpowiedzi
Zadanie 13.4, strona 84, Fizyka. Klasa 4. Zakres rozszerzony. Zbiór zadań - rozwiązania i odpowiedzi
Zadanie 1, strona 161, Fizyka. Klasa 8. Podręcznik - rozwiązania i odpowiedzi
Zadanie 28., strona 319, Odkryć fizykę. Klasa 3. Zakres podstawowy. Podręcznik - rozwiązania i odpowiedzi
Zadanie 3, strona 157, Zrozumieć fizykę. Klasa 1.Podręcznik. Zakres rozszerzony - rozwiązania i odpowiedzi
Zadanie 31.4., strona 114, Zbiór zadań z fizyki dla szkoły podstawowej. Klasa 7-8 - rozwiązania i odpowiedzi
Zadanie 1, strona 242, Zrozumieć fizykę. Klasa 1.Podręcznik. Zakres rozszerzony - rozwiązania i odpowiedzi
Zadanie 1., strona 84, Fizyka. To jest fizyka. Klasa 8. Podręcznik - rozwiązania i odpowiedzi
REKLAMA
Skul
Zadania z tego działu
2. Drgania i fale mechaniczne
57
Drgania i fale mechaniczne
57

Pytanie 1

57

Pytanie 2

57

Pytanie 3

57

Pytanie 4

57

Pytanie 5

57
2.1 Ruch drgający
58

Pytanie Podejmij temat 1

58

Pytanie 1

65

Zadanie 2

65

Zadanie 3

65

Podpunkt a)

65

Podpunkt b)

65

Podpunkt c)

65

Podpunkt d)

65

Podpunkt e)

65

Zadanie 4

65

Zadanie 5

65
2.2 Wahadło matematyczne
66

Pytanie Podejmij temat 1

66

Pytanie Podejmij temat 2

66

Pytanie Podejmij temat 3

66

Pytanie Podejmij temat 4

66

Pytanie Zadanie 1

68

Zadanie 1

74

Podpunkt a)

74

Podpunkt b)

74

Podpunkt c)

74

Podpunkt d)

74

Podpunkt e)

74

Podpunkt f)

74
2.3 Fale mechaniczne
75

Pytanie Podejmij temat 1

75

Zadanie 1

82

Zadanie 2

82

Zadanie 3

82

Zadanie 4

82
2.4 Dźwięki
83

Pytanie Podejmij temat 1

83

Pytanie Podejmij temat 2

83

Pytanie 1

93

Pytanie 2

93

Zadanie 1

94

Zadanie 2

94

Zadanie 3

94
Podsumowanie działu 2
55

Pytanie 1

98

Pytanie 2

98

Zadanie 3

98

Podpunkt 1)

98

Podpunkt 2)

98

Podpunkt 3)

98

Podpunkt 4)

98

Pytanie 4

98

Pytanie 5

98

Pytanie 6

98

Pytanie 7

98

Pytanie 8

98

Pytanie 9

98

Pytanie 10

98
Pełny spis treści
Skul
Artboard 1
Skul.pl
  • Napisz do nas
  • FAQ
  • Mapa Serwisu
  • Google Play
  • App Store

Korzystanie z portalu oznacza akceptację Regulaminu.
Polityka prywatności. Ustawienia preferencji. Copyright: INTERIA.PL 1999-2023 Wszystkie prawa zastrzeżone.