Skul.pl
  • Opracowania zadań z podręczników
  • Fizyka. Klasa 8. Podręcznik - rozwiązania i odpowiedzi
  • Zadanie 4

Fizyka. Klasa 8. Podręcznik - rozwiązania i odpowiedzi

Podręcznik, Wydawnictwo: MAC
Poprzednie

Zadanie 4 - strona 65

Następne

Zadanie

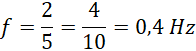
W tym zadaniu musisz obliczyć okres i częstotliwość ruchu huśtawki, wiedząc, że w ciągu 5 sekund wykonała ona 2 drgania.

Rozwiązanie

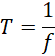
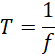
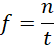
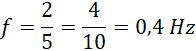
t = 5 s

n = 2

f = ?

T = ?

Okres drgań tej huśtawki wynosi 2,5 s, a częstotliwość jest równa 0,4 Hz.

Skul

Wyjaśnienie

Skorzystaj ze wzorów:

Poprzednie
Następne

Fizyka - wybrane pytania

Ćwiczenie 8.52., strona 122, Fizyka. Klasa 1-3. Zakres podstawowy. Zbiór zadań - rozwiązania i odpowiedzi
Zadanie 15, strona 83, Fizyka. Klasy 1-3. Zakres podstawowy. Zbiór zadań - rozwiązania i odpowiedzi
Zadanie 6.2.10., strona 232, Zrozumieć fizykę. Klasa 1. Zakres rozszerzony. Zbiór zadań - rozwiązania i odpowiedzi
Ćwiczenie 9., strona 8, Fizyka. Świat fizyki. Klasa 8. Zeszyt ćwiczeń - rozwiązania i odpowiedzi
Zadanie Podejmij temat 1, strona 74, Fizyka. Klasa 7. Podręcznik – rozwiązania i odpowiedzi
Zadanie 21., strona 325, Odkryć fizykę. Klasa 3. Zakres podstawowy. Podręcznik - rozwiązania i odpowiedzi
Ćwiczenie 2., strona 38, Fizyka. Klasa 7. Zeszyt ćwiczeń – rozwiązania i odpowiedzi
Zadanie 2.11., strona 11, Fizyka. Klasa 7-8. Zbiór zadań - rozwiązania i odpowiedzi
Pytanie 4, strona 249, Fizyka. Klasa 8. Podręcznik - rozwiązania i odpowiedzi
Zadanie 6., strona 228, Fizyka. To jest fizyka. Klasa 8. Podręcznik - rozwiązania i odpowiedzi
REKLAMA
Skul
Zadania z tego działu
2. Drgania i fale mechaniczne
57
Drgania i fale mechaniczne
57

Pytanie 1

57

Pytanie 2

57

Pytanie 3

57

Pytanie 4

57

Pytanie 5

57
2.1 Ruch drgający
58

Pytanie Podejmij temat 1

58

Pytanie 1

65

Zadanie 2

65

Zadanie 3

65

Podpunkt a)

65

Podpunkt b)

65

Podpunkt c)

65

Podpunkt d)

65

Podpunkt e)

65

Zadanie 4

65

Zadanie 5

65
2.2 Wahadło matematyczne
66

Pytanie Podejmij temat 1

66

Pytanie Podejmij temat 2

66

Pytanie Podejmij temat 3

66

Pytanie Podejmij temat 4

66

Pytanie Zadanie 1

68

Zadanie 1

74

Podpunkt a)

74

Podpunkt b)

74

Podpunkt c)

74

Podpunkt d)

74

Podpunkt e)

74

Podpunkt f)

74
2.3 Fale mechaniczne
75

Pytanie Podejmij temat 1

75

Zadanie 1

82

Zadanie 2

82

Zadanie 3

82

Zadanie 4

82
2.4 Dźwięki
83

Pytanie Podejmij temat 1

83

Pytanie Podejmij temat 2

83

Pytanie 1

93

Pytanie 2

93

Zadanie 1

94

Zadanie 2

94

Zadanie 3

94
Podsumowanie działu 2
55

Pytanie 1

98

Pytanie 2

98

Zadanie 3

98

Podpunkt 1)

98

Podpunkt 2)

98

Podpunkt 3)

98

Podpunkt 4)

98

Pytanie 4

98

Pytanie 5

98

Pytanie 6

98

Pytanie 7

98

Pytanie 8

98

Pytanie 9

98

Pytanie 10

98
Pełny spis treści
Skul
Artboard 1
Skul.pl
  • Napisz do nas
  • FAQ
  • Mapa Serwisu
  • Google Play
  • App Store

Korzystanie z portalu oznacza akceptację Regulaminu.
Polityka prywatności. Ustawienia preferencji. Copyright: INTERIA.PL 1999-2023 Wszystkie prawa zastrzeżone.