Dane:
d = 10 km
f1 = 30 Hz
niech:
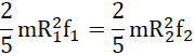
Z zasady zachowania momentu pędu:
więc:
moment bezwładności kuli:
Odpowiedź: Gdy pulsar był 10 000 razy większy, jego okres obrotu wynosił około 38,6 doby.
Na pulsar nie działa żaden moment siły, więc z zasady zachowania momentu pędu, moment pędu na początku i na końcu badania ruchu jest taki sam. Dla ułatwienia obliczeń wprowadź sobie pomocniczo niewiadome oznaczające promienie w każdej z podanych sytuacji. Pamiętaj, prędkość kątową możesz przedstawić jako iloczyn 2π oraz częstotliwości. Wyznacz częstotliwość dla większego obiektu, a następnie zapisz jej okres – jest to odwrotność częstotliwości. Otrzymany wynik podany jest w sekundach i jest mało praktyczną liczbą, podziel go dwukrotnie przez 60 (zamienisz go na minuty, a następnie na godziny), a potem przez 24 – teraz wynik to liczba dób.