Dane:
l = 2 m
d – 50 cm = 0,5 m
w miejscu zawieszenia dzika:
na środku belki:
Odpowiedź: Myśliwy idący z tyłu ma na swoich barkach
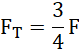
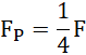
Najpierw zbadaj, jak wyglądają momenty sił w miejscu zawieszenia dzika. Pamiętaj, moment siły to iloczyn promienia, siły oraz sinusa kąta pomiędzy tymi wektorami (w naszym zadaniu kąt wynosi 90 stopni, a więc sinus jest równy 1). W podobny sposób postąp na środku belki – w tym miejscu sytuacja wygląda następująco: siła myśliwego idącego z tyłu działa do góry (odległość od środka belki to 1 m), a siłą ciężaru dzika działa w dół (odległość od środka belki tutaj wynosi 0,5 m), a więc wypadkowy moment sił to różnica tych wartości, z kolei idący z przodu myśliwy działa siłą do góry, a jego odległość od środka belki to także 1 m. Belka pozostaje w równowadze, więc zachodzi równość między wypadkowymi momentami sił. W ten sposób otrzymujesz układ równań, z którego wyliczysz, jaka część ciężaru spoczywa na barkach każdej z osób.