Dane:
M = 200 g = 0,2 kg
R = 10 cm = 0,1 m
m = 300 g = 0,3 kg
a = 1,25
Przyjmijmy, że oś układu współrzędnych jest zwrócona w dół.
Lewa strona bloku:
Prawa strona bloku:
z drugiej zasady dynamiki dla ruchu obrotowego:
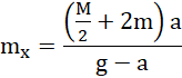
Ponadto:
Przekształcając:
Co daje:
Odpowiedź: Doczepiony ciężarek ma masę 100 g.
Na początek przyjmij zwrot osi układu współrzędnych – od niego zależy, w których miejscach siła pojawi się ze znakiem plus bądź minus. Wykorzystując 2. Zasadę dynamiki dla ruchu prostoliniowego zapisz równości dla każdej ze stron bloczka. Zwróć uwagę na zwrot sił po stronie, gdzie znajduje się tylko jeden odważnik, linka zostanie pociągnięta w stronę o większej masie ciężarków. Korzystając z 2. zasady dynamiki, zapisz równość pomiędzy prędkością liniową a ilorazem składowej momentu siły (na blok działają siły naciągu liny z każdej strony – większa po stronie większej masy odważników) oraz momentem bezwładności walca. Skorzystaj także z zależności między prędkością kątową a liniową. Z zebranych równości utwórz układ równań, wyznacz siły naciągu i wykorzystaj je do wyliczenia szukanej masy.