Dane:
d = 71 cm = 0,71 m
∆t = 8 s
v1 = 12
v2 = 27
Odpowiedź: Przyspieszenie kątowe w podanym czasie wyniosło 1,47
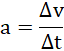
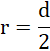
Pamiętaj, przyspieszenie kątowe to iloraz przyspieszenia liniowego i wartości promienia wodzącego podanego punktu. Wykonując obliczenia, zwróć uwagę, czy wartości są podane w jednostkach podstawowych – metrach, sekundach, metrach na sekundę – w przeciwnym przypadku zamień je przed wykorzystaniem ich we wzorach. Zauważ, potrzebnych we wzorze wartości nie ma podanych w treści zadania – możesz otrzymać je, stosując inne wzory – przyspieszenie liniowe to iloraz zmiany (przyrostu) prędkości i zmiany czasu, promień koła to połowa jego średnicy, a zmiana prędkości to różnica między prędkością na końcu i na początku ruchu. Na końcu zwróć uwagę, czy otrzymany wynik jest podany we właściwej jednostce – na ogół pomijamy radiany w zapisie kąta – nie zapomnij dopisać go do końcowego wyniku.