Dane:
r
f1
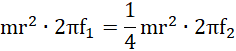
Z zasady zachowania momentu pędu:
więc:
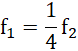
co daje:
Odpowiedź: Po zmniejszeniu promienia okręgu o połowę, częstotliwość wzrosła czterokrotnie.
Na układ nie działa żaden zewnętrzny moment siły, więc z zasady zachowania momentu pędu, moment pędu w czasie ruchu po większym okręgu jest równy momentowi pędu w czasie ruchu po mniejszym okręgu. Potraktuj gumkę jako punkt materialny, a prędkość kątową we wzorze zastąp iloczynem 2π i częstotliwości. Skróć czynniki, gdy to możliwe, a następnie wyznacz wartość szukanej częstotliwości względem częstotliwości danej w treści.