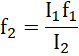
Dane:
f1 = 1 Hz
I1 = 2,94 kg ∙ m2
I2 = 0,98 kg ∙ m2
więc:
Odpowiedź: Po zbliżeniu rąk do tułowia łyżwiarz wirował z częstotliwością 3 Hz.
Na łyżwiarza nie działa żaden moment siły, więc moment pędu (iloczyn momentu bezwładności i prędkości kątowej) jest stały. Oznacza to, że iloczyny w sytuacji, gdy jego ręce są rozłożone i zbliżone do tułowia, są sobie równe. Prędkość kątową zapisz jako iloczyn 2π oraz częstotliwości. Z równości wyznacz i wylicz szukaną częstotliwość.