Dane:
l = 1 m
m = 0,5 kg
niech:
I1 – rurka, przez którą przechodzi oś obrotu
I2 – rurka prostopadła do osi obrotu
I3 – rurka równoległa do rurki I1
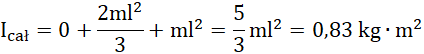
Odpowiedź: Moment bezwładności bramki to
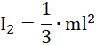
Całkowity moment bezwładności bramki to suma momentów bezwładności każdej z rurek. Moment bezwładności rurki, przez którą przechodzi oś obrotu to 0 (gdy podzielimy ją na punkty, to odległość każdego z nich do osi wynosie 0, więc ich suma także jest zerem), zaś moment bezwładności rurki do niej równoległej to iloczyn jej masy i odległości od osi obrotu do kwadratu (każdy z punktów jest tak samo odległy od osi obrotu). Wartość momentu bezwładności dla pozostałych dwóch rurek możesz odczytać z tabeli nr 5 na końcu zbioru zadań. Dodaj do siebie otrzymane wartości.