Dane:
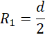
d = 2 km
f1 = 10 Hz
niech:
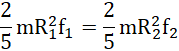
Z zasady zachowania momentu pędu:
więc:
moment bezwładności kuli:
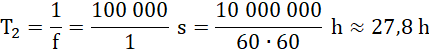
Odpowiedź: Gdy gwiazda neutronowa była 1000 razy większa, jej okres obrotu wynosił około 27,8 h.
Na gwiazdę nie działa żaden moment siły, więc z zasady zachowania momentu pędu, moment pędu na początku i na końcu badania ruchu jest taki sam. Dla ułatwienia obliczeń wprowadź sobie pomocniczo niewiadome oznaczające promienie w każdej z podanych sytuacji. Pamiętaj, prędkość kątową możesz przedstawić jako iloczyn 2π oraz częstotliwości. Wyznacz częstotliwość dla większego obiektu, a następnie zapisz jej okres – jest to odwrotność częstotliwości. Otrzymany wynik podany jest w sekundach i jest mało praktyczną liczbą, podziel go dwukrotnie przez 60 (zamienisz go na minuty, a następnie na godziny).