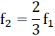
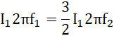
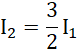
Dane:
więc:
Odpowiedź: W drugiej pozycji częstotliwość obrotów wyniosła 1,5 Hz.
Na układ nie działa żaden moment siły, więc moment pędu (iloczyn momentu bezwładności i prędkości kątowej) jest stały. Oznacza to, że iloczyny są sobie równe w każdej z przedstawionej sytuacji ułożenia ciała. Prędkość kątową zapisz jako iloczyn 2π oraz częstotliwości. Zauważ, moment bezwładności w drugiej sytuacji jest 1,5 razy większy od momentu bezwładności na rysunku 1. Skróć powtarzające się po obu stronach czynniki i wyznacz wartość szukanej częstotliwości.