Dane:
r = 80 cm = 0,8 m
∆t = 4 s
ε = 15
Przyspieszenie liniowe:
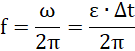
Częstotliwość:
więc:
Odpowiedź: Przyspieszenie linowe koła po 4 sekundach wynosiło 12
Pamiętaj, przyspieszenie liniowe to iloczyn przyspieszenia kątowego i wartości promienia wodzącego podanego punktu, aby obliczyć częstotliwość ruchu, wykorzystaj dwa wzory: prędkość w ruchu po okręgu (iloczyn 2π, promienia okręgu i częstotliwości) oraz związek między prędkością liniową a kątową. Z zebranych równości wyznacz częstotliwość, prędkość kątową możesz zapisać jako iloczyn czasu i przyspieszenia kątowego. Zauważ, kąt potrzebny w obliczeniach został podany w radianach (na ogół pomijamy go w zapisie) – nie zapomnij dopisać go do końcowego wyniku, ponadto po skróceniu się sekund w obliczeniach częstotliwości wynik podaj w jednostce podstawowej – hercach, 1 Hz =