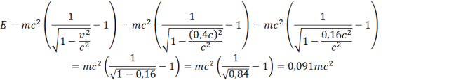
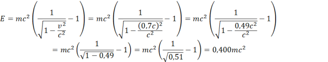
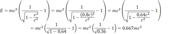
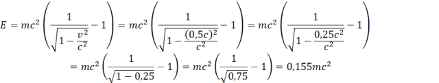
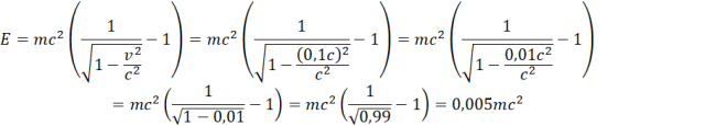
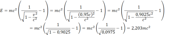
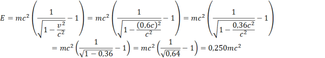
Zadanie

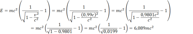
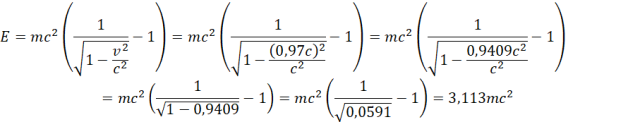
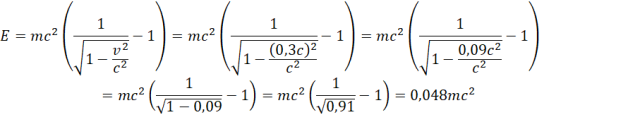
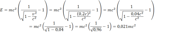
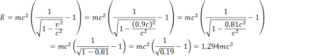
W tym zadaniu musisz policzyć wartości relatywistycznej energii kinetycznej dla podanych prędkości i zawrzeć je w tabeli.

Rozwiązanie

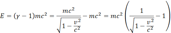
Wyjaśnienie

Zadania z tego działu
Elementy szczególnej teorii względności
107
Szybkość światła w różnych inercjalnych układach odniesienia
108
Zjawisko Dopplera dla fal elektromagnetycznych
112
Maksymalna szybkość przekazu informacji
117
Związek między energią i pędem cząstki. Energia i masa układu cząstek
129