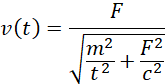
Zadanie

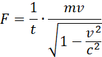
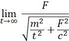
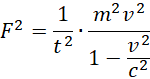
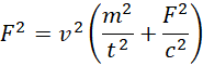
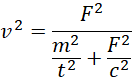
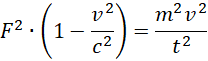
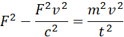
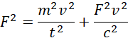
W tym zadaniu na podstawie podanych informacji musisz określić, jaką funkcją czasu jest szybkość ciała. Skorzystaj z przytoczonych w zadaniu wzorów.

Rozwiązanie

Zadania z tego działu
Elementy szczególnej teorii względności
107
Szybkość światła w różnych inercjalnych układach odniesienia
108
Zjawisko Dopplera dla fal elektromagnetycznych
112
Maksymalna szybkość przekazu informacji
117
Związek między energią i pędem cząstki. Energia i masa układu cząstek
129