W tym zadaniu musisz, na podstawie podanych danych, obliczyć energię kinetyczną elektronu o podanej szybkości i porównaj ją z energią obliczoną ze wzoru klasycznego
Rozwiązanie
Wyjaśnienie
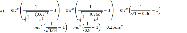
Skorzystaj ze wzoru na relatywistyczną energię kinetyczną:
Znając wartość
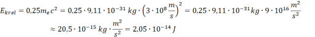
Znając wartości:
Podstaw je do wzoru
Teraz oblicz energię kinetyczną za pomocą wzoru klasycznego: