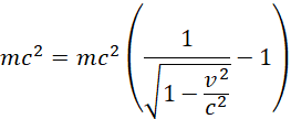
W tym zadaniu musisz wyliczyć prędkość, przy której energia kinetyczna i spoczynkowa się zrównoważą.
Relatywistyczna energia kinetyczna:
Energia spoczynkowa:
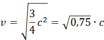
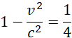
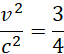
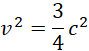
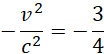
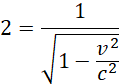
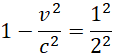
Aby warunek był spełniony energie muszą być równe sobie.
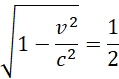
Podnieś obie strony równania do kwadratu:
Zadanie 1
Podpunkt a)
Podpunkt b)
Zadanie 2
Zadanie 3
Podpunkt c)
Pytanie 1
Zadanie 4
Zadanie 5
Zadanie 6
Zadanie 7
Zadanie 8
Pytanie 9
Zadanie 10
Zadanie 8.1
Zadanie 8.2
Zadanie 9.1
Zadanie 9.2
Zadanie 9.3