Zadanie

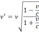
Użyty wcześniej wzór jest wzorem przybliżonym, stosowanym w wypadku kiedy . W tym podpunkcie użyj wzoru dokładnego.

Rozwiązanie

Zadania z tego działu
Elementy szczególnej teorii względności
107
Szybkość światła w różnych inercjalnych układach odniesienia
108
Zjawisko Dopplera dla fal elektromagnetycznych
112
Maksymalna szybkość przekazu informacji
117
Związek między energią i pędem cząstki. Energia i masa układu cząstek
129