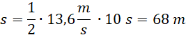
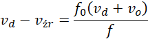
Skoro
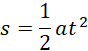
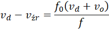
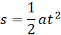
Łącząc te wzory otrzymujesz:
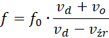
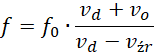
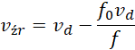
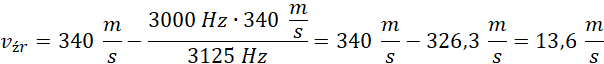
Znajdź prędkość pojazdu z pomocą wzoru na zjawisko Dopplera, w przypadku gdy źródło zbliża się do odbiorcy:
Znaki + i - musisz wstawić na odwrót, jeśli źródło się oddala.
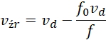
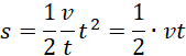
Znajdź
Skoro
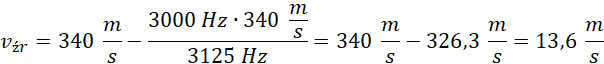
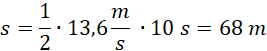
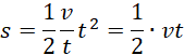
Wstaw wartości: