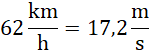
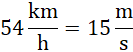
Zamiana jednostek prędkości:
Wykres:
Wzór:
Współczynnik b: jest to prędkość początkowa.
Współczynnik a: jest to przyspieszenie samochodu.
Aby zamienić jednostki, podane wartości podziel przez 3,6. Aby wyznaczyć współczynnik kierunkowy prostej, wybrano do obliczeń ostatni punkt pomiarowy.