Skul.pl
  • Opracowania zadań z podręczników
  • Zrozumieć fizykę. Klasa 1. Zakres rozszerzony. Zbiór zadań - rozwiązania i odpowiedzi
  • Zadanie 1.1.9.

Zrozumieć fizykę. Klasa 1. Zakres rozszerzony. Zbiór zadań - rozwiązania i odpowiedzi

Zbiór zadań, Wydawnictwo: Nowa Era
Poprzednie

Zadanie 1.1.9. - strona 14

Następne

Zadanie

Zaznacz odpowiedź, w której podano prawidłowo wzór na okres drgań wahadła matematycznego, a odpowiedź masz uzasadnić, przeliczając jednostki do jednostek układu SI.

Rozwiązanie

Wzór w podpunkcie a:

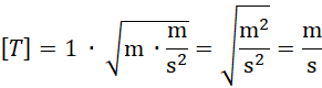
Wzór w podpunkcie b:

Wzór w podpunkcie c:

Prawidłowa odpowiedź: b.

Skul

Wyjaśnienie

Jednostką okresu jest sekunda. Tylko w drugim podpunkcie uzyskano taką odpowiedź.

Poprzednie
Następne

Fizyka - wybrane pytania

Ćwiczenie 2.40., strona 28, Fizyka. Klasa 1-3. Zakres podstawowy. Zbiór zadań - rozwiązania i odpowiedzi
Zadanie 6., strona 147, Fizyka. Klasa 1. Podręcznik. Zakres rozszerzony – rozwiązania i odpowiedzi
Ćwiczenie 4., strona 6, Fizyka. Klasa 8. Zeszyt ćwiczeń - rozwiązania i odpowiedzi
Zadanie 2., strona 88, Fizyka. Klasa 1. Podręcznik. Zakres rozszerzony – rozwiązania i odpowiedzi
Zadanie 5.93., strona 73, Fizyka. Klasa 7-8. Zbiór zadań - rozwiązania i odpowiedzi
Zadanie 14.1., strona 56, Zbiór zadań z fizyki dla szkoły podstawowej. Klasa 7-8 - rozwiązania i odpowiedzi
Zadanie 6.1, strona 223, Fizyka. Klasa 4. Poziom rozszerzony. Podręcznik - rozwiązania i odpowiedzi
Przykład Przykład 1., strona 28, Zrozumieć fizykę. Klasa 2. Zakres rozszerzony. Zbiór zadań - rozwiązania i odpowiedzi
Zadanie 10.16., strona 253, Zrozumieć fizykę. Klasa 2. Zakres rozszerzony. Zbiór zadań - rozwiązania i odpowiedzi
Zadanie 1, strona 225, Fizyka. Klasa 8. Podręcznik - rozwiązania i odpowiedzi
REKLAMA
Skul
Zadania z tego działu
1. Wprowadzenie
1
Przedmiot i metody badań fizyki. Pomiary i jednostki
10

Zadanie 1.1.1.

13

Podpunkt a)

13

Podpunkt b)

13

Podpunkt c)

13

Podpunkt d)

13

Podpunkt e)

13

Zadanie 1.1.2.

1

Podpunkt a)

13

Podpunkt b)

13

Podpunkt c)

13

Podpunkt d)

13

Podpunkt e)

1

Zadanie 1.1.3.

13

Zadanie 1.1.4.

13

Podpunkt a)

13

Podpunkt b)

13

Podpunkt c)

13

Podpunkt d)

13

Podpunkt e)

13

Zadanie 1.1.5.

13

Zadanie 1.1.6.

13

Zadanie 1.1.7.

14

Zadanie 1.1.8.

14

Zadanie 1.1.9.

14

Zadanie 1.1.10.

14

Zadanie 1.1.11.

14

Podpunkt a)

14

Podpunkt b)

14

Zadanie 1.1.12.

14
Wstęp do analizy danych pomiarowych
15

Zadanie 1.2.1.

18

Podpunkt a)

18

Podpunkt b)

18

Podpunkt c)

18

Zadanie 1.2.2.

19

Podpunkt a)

19

Podpunkt b)

19

Podpunkt c)

19

Zadanie 1.2.3.

19

Zadanie 1.2.4.

19

Zadanie 1.2.5.

19

Podpunkt a)

19

Podpunkt b)

19

Podpunkt c)

19
Proporcjonalność prosta
20

Zadanie 1.3.1

22

Zadanie 1.3.2.

23

Zadanie 1.3.3.

23

Zadanie 1.3.4.

23
Pełny spis treści
Skul
Artboard 1
Skul.pl
  • Napisz do nas
  • FAQ
  • Mapa Serwisu
  • Google Play
  • App Store

Korzystanie z portalu oznacza akceptację Regulaminu.
Polityka prywatności. Ustawienia preferencji. Copyright: INTERIA.PL 1999-2023 Wszystkie prawa zastrzeżone.