Skul.pl
  • Opracowania zadań z podręczników
  • Zrozumieć fizykę. Klasa 1. Zakres rozszerzony. Zbiór zadań - rozwiązania i odpowiedzi
  • Zadanie 1.1.7.

Zrozumieć fizykę. Klasa 1. Zakres rozszerzony. Zbiór zadań - rozwiązania i odpowiedzi

Zbiór zadań, Wydawnictwo: Nowa Era
Poprzednie

Zadanie 1.1.7. - strona 14

Następne

Zadanie

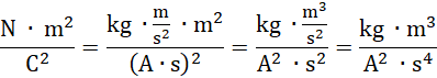
Wyraź jednostkę stałej elektrostatycznej za pomocą jednostek podstawowych układu SI.

Rozwiązanie

Skul

Wyjaśnienie

W tym zadaniu przedstawiasz jednostkę stałej elektrostatycznej w jednostkach podstawowych układu SI. Najpierw zamień jednostkę niuton oraz kulomb.

Poprzednie
Następne

Fizyka - wybrane pytania

Ćwiczenie 3.26., strona 43, Fizyka. Klasa 1-3. Zakres podstawowy. Zbiór zadań - rozwiązania i odpowiedzi
Zadanie 16.11.5., strona 111, Zrozumieć fizykę 4. Zakres rozszerzony. Zbiór zadań - rozwiązania i odpowiedzi
Ćwiczenie 6., strona 33, Fizyka. Klasa 8. Zeszyt ćwiczeń - rozwiązania i odpowiedzi
Ćwiczenie 2., strona 23, Fizyka. Świat fizyki. Klasa 8. Zeszyt ćwiczeń - rozwiązania i odpowiedzi
Ćwiczenie 11.9, strona 54, Fizyka. Klasa 3. Zakres rozszerzony. Zbiór zadań - rozwiązania i odpowiedzi
Pytanie 29., strona 156, Fizyka. Fizyka z plusem. Klasa 7. Podręcznik - rozwiązania i odpowiedzi
Zadanie 20., strona 156, Fizyka. Klasa 7-8. Zbiór zadań - rozwiązania i odpowiedzi
Zadanie 3, strona 230, Zrozumieć fizykę. Klasa 4. Poziom rozszerzony. Podręcznik - rozwiązania i odpowiedzi
Zadanie 19., strona 310, Odkryć fizykę. Klasa 3. Zakres podstawowy. Podręcznik - rozwiązania i odpowiedzi
Ćwiczenie 1., strona 131, Fizyka. Klasa 8. Zeszyt ćwiczeń - rozwiązania i odpowiedzi
REKLAMA
Skul
Zadania z tego działu
1. Wprowadzenie
1
Przedmiot i metody badań fizyki. Pomiary i jednostki
10

Zadanie 1.1.1.

13

Podpunkt a)

13

Podpunkt b)

13

Podpunkt c)

13

Podpunkt d)

13

Podpunkt e)

13

Zadanie 1.1.2.

1

Podpunkt a)

13

Podpunkt b)

13

Podpunkt c)

13

Podpunkt d)

13

Podpunkt e)

1

Zadanie 1.1.3.

13

Zadanie 1.1.4.

13

Podpunkt a)

13

Podpunkt b)

13

Podpunkt c)

13

Podpunkt d)

13

Podpunkt e)

13

Zadanie 1.1.5.

13

Zadanie 1.1.6.

13

Zadanie 1.1.7.

14

Zadanie 1.1.8.

14

Zadanie 1.1.9.

14

Zadanie 1.1.10.

14

Zadanie 1.1.11.

14

Podpunkt a)

14

Podpunkt b)

14

Zadanie 1.1.12.

14
Wstęp do analizy danych pomiarowych
15

Zadanie 1.2.1.

18

Podpunkt a)

18

Podpunkt b)

18

Podpunkt c)

18

Zadanie 1.2.2.

19

Podpunkt a)

19

Podpunkt b)

19

Podpunkt c)

19

Zadanie 1.2.3.

19

Zadanie 1.2.4.

19

Zadanie 1.2.5.

19

Podpunkt a)

19

Podpunkt b)

19

Podpunkt c)

19
Proporcjonalność prosta
20

Zadanie 1.3.1

22

Zadanie 1.3.2.

23

Zadanie 1.3.3.

23

Zadanie 1.3.4.

23
Pełny spis treści
Skul
Artboard 1
Skul.pl
  • Napisz do nas
  • FAQ
  • Mapa Serwisu
  • Google Play
  • App Store

Korzystanie z portalu oznacza akceptację Regulaminu.
Polityka prywatności. Ustawienia preferencji. Copyright: INTERIA.PL 1999-2023 Wszystkie prawa zastrzeżone.