1. Zmiana kierunku prądu w przewodniku 1 spowoduje zmianę zwrotu siły, którą przewodnik 1 początkowo działał na przewodnik 2, na przeciwny. P
2. Wartość siły, którą przewodnik 1 działa na przewodnik 2, jest taka sama jak wartość siły, którą przewodnik 2 działa na przewodnik 1. P
3. Przewodniki 1 i 2 przyciągają się. P
1. Zmiana kierunku przepływu prądu oznacza zmianę, kierunku wektorów sił pola magnetycznego, które oddziałują na przewodnik 2.
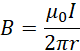
2. Siła elektromagnetyczna:
Podstawiając:
Dla
Skoro :
,to:
Wzór na
3. Gdy prąd w przewodnikach płynie w przeciwne strony, przewodniki odpychają się.