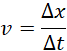
Najpierw oblicz wartości prędkości ciał przed zderzeniem.
Odczytaj z wykresu wartości zmiany położenia do zmiany czasu wiedząc, że:
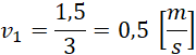
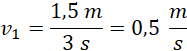
Dla ciała 1:
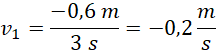
Dla ciała 2:
W zderzeniu zostanie zachowany pęd układu:
Pęd przed zderzeniem:
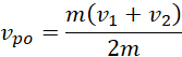
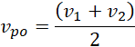
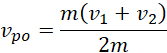
Pęd po zderzeniu skoro poruszały się jako jedno ciało:
Wiedząc, że pęd zostanie zachowany:
Podstaw wartości: