Skul.pl
  • Opracowania zadań z podręczników
  • Fizyka. Klasa 4. Poziom rozszerzony. Podręcznik - rozwiązania i odpowiedzi
  • Zadanie 3.3

Fizyka. Klasa 4. Poziom rozszerzony. Podręcznik - rozwiązania i odpowiedzi

Podręcznik, Wydawnictwo: WSiP
Poprzednie

Zadanie 3.3 - strona 232

Następne

Zadanie

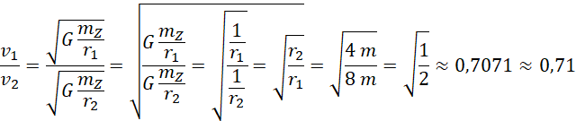
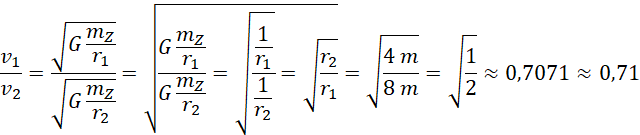
W tym zadaniu musisz policzyć, jaki jest iloraz prędkości orbitalnej satelity S1 oraz satelity S2. Pamiętaj, że wynik należy zaokrąglić do 2 cyfr znaczących.

Rozwiązanie

Skul

Wyjaśnienie

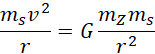
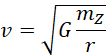
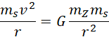
Siła grawitacji działa tu jako siła dośrodkowa:

Oblicz iloraz :

Poprzednie
Następne

Fizyka - wybrane pytania

Zadanie 5, strona 98, Fizyka. Klasa 3. Zakres podstawowy. Podręcznik - rozwiązania i odpowiedzi
Zadanie 3., strona 149, Spotkania z fizyką. Klasa 8. Podręcznik - rozwiązania i odpowiedzi
Zadanie 15.35., strona 208, Fizyka. Klasa 7-8. Zbiór zadań - rozwiązania i odpowiedzi
Zadanie 24.19., strona 126, Fizyka. Klasa 1. Zbiór zadań. Zakres rozszerzony – rozwiązania i odpowiedzi
Zadanie 3, strona 135, Fizyka. Klasa 3. Zakres podstawowy. Podręcznik - rozwiązania i odpowiedzi
Zadanie 10.4.11., strona 209, Zrozumieć fizykę. Klasa 2. Zakres rozszerzony. Zbiór zadań - rozwiązania i odpowiedzi
Zadanie 10.8, strona 46, Fizyka. Klasa 2. Zakres rozszerzony. Zbiór zadań - rozwiązania i odpowiedzi
Zadanie 5., strona 107, Fizyka. Klasa 1. Podręcznik. Zakres podstawowy - rozwiązania i odpowiedzi
Zadanie *14., strona 195, Odkryć fizykę. Klasa 2. Podręcznik. Zakres podstawowy - rozwiązania i odpowiedzi
Zadanie 1., strona 15, Fizyka. Klasa 7-8. Zbiór zadań - rozwiązania i odpowiedzi
REKLAMA
Skul
Zadania z tego działu
Zadania powtórzeniowe
217
Zestaw 1
218

Zadanie 1.1

218

Zadanie 1.2

218

Zadanie 1.3

218

Zadanie 1.4

218

Zadanie 2.1

219

Zadanie 2.2

219

Podpunkt a)

219

Podpunkt b)

219

Zadanie 3

219

Zadanie 4.1

221

Zadanie 4.2

221

Zadanie 4.3

221

Zadanie 5.1

222

Zadanie 5.2

222

Zadanie 6.1

223

Zadanie 6.2

223

Zadanie 7.1

224

Zadanie 7.2

223

Zadanie 8.1

224

Zadanie 8.2

225

Zadanie 8.3

225

Zadanie 9.1

226

Zadanie 9.2

227

Zadanie 10.1

227

Zadanie 10.2

227

Zadanie 11

227

Zadanie 12.1

228

Zadanie 12.2

228
Zestaw 2
229

Zadanie 1.1

229

Zadanie 1.2

230

Zadanie 2.1

231

Zadanie 2.2

231

Zadanie 3.1

232

Zadanie 3.2

232

Zadanie 3.3

232

Zadanie 4.1

232

Zadanie 4.2

223

Zadanie 5

233

Zadanie 6.1

234

Zadanie 6.2

235

Zadanie 6.3

235

Zadanie 7.1

235

Zadanie 7.2

236

Zadanie 7.3

236

Zadanie 8.1

237

Zadanie 8.2

237

Zadanie 8.3

237

Zadanie 8.4

238

Zadanie 9.1

238

Zadanie 9.2

238

Zadanie 10.1

239

Zadanie 10.2

239
Pełny spis treści
Skul
Artboard 1
Skul.pl
  • Napisz do nas
  • FAQ
  • Mapa Serwisu
  • Google Play
  • App Store

Korzystanie z portalu oznacza akceptację Regulaminu.
Polityka prywatności. Ustawienia preferencji. Copyright: INTERIA.PL 1999-2023 Wszystkie prawa zastrzeżone.