1. Prędkość orbitalna satelity zależy od jego masy. F
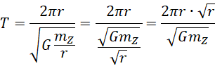
2. okres obiegu satelity
3. Siła grawitacji działająca na satelitę
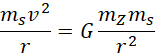
1. Siła grawitacji działa tu jako siła dośrodkowa:
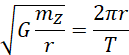
2. Prędkość kątową wyrażamy:
Skoro
To:
Jak widzisz wraz ze wzrostem promienia orbity wzrasta okres.
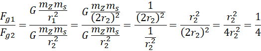
3. Z wykresu możesz wyczytać, że:
A z polecenia, że: