Aby doszło do rozszczepienia cząstek w jądrze berylu, musi zostać mu dostarczona energia niemniejsza niż energia wiązania cząsteczek. Energia ta jest określana energią spoczynkową i wzorem:
Gdzie
Energia fotonu:
h – stała Plancka
f – częstotliwość fotonu
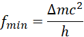
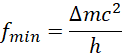
Minimalna energia potrzebna do wywołania reakcji:
Musi być równa energii spoczynkowej izotopu berylu:
Deficyt masy:
Wstaw dane:
Oblicz deficyt masy w celu ułatwienia obliczeń: