Sznurek zaczepiony o
Gdzie
Wartość przyspieszenia kątowego:
Moment bezwładności układu będzie równy sumie momentów bezwładności jego elementów:
Gdzie
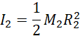
Moment bezwładności jednorodnego walca o masie M i promieniu R jest równy:
W naszym przypadku:
Więc:
Podstaw do wzoru:
Siłą wypadkową działającą na bryłę, będzie suma sił działających na nią. Pamiętając ,że siła naciągu nici i siła ciężkości mają przeciwne zwroty:
Skoro:
Łączna masa układu:
Więc:
Masz teraz dwa wzory wyrażające siłę naciągu nici. Przyrównaj je:
Przekształć wzór aby wyrażał wartość prędkości:
Wstaw wartości: