Skul.pl
  • Opracowania zadań z podręczników
  • Fizyka. Klasa 4. Poziom rozszerzony. Podręcznik - rozwiązania i odpowiedzi
  • Zadanie 4.3

Fizyka. Klasa 4. Poziom rozszerzony. Podręcznik - rozwiązania i odpowiedzi

Podręcznik, Wydawnictwo: WSiP
Poprzednie

Zadanie 4.3 - strona 221

Następne

Zadanie

W tym zadaniu na podstawie podanych informacji musisz policzyć masę ciała niebieskiego K. Wynik zaokrąglij do 2 cyfr znaczących.

Rozwiązanie

Skul

Wyjaśnienie

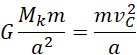
Hipotetycznie ciało porusza się po orbicie kołowej o promieniu a.

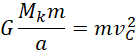
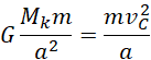
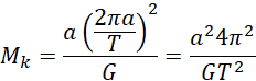
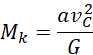
Siła grawitacji w takim wypadku będzie odgrywać rolę siły dośrodkowej:

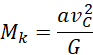
„Wyciągnij” ze wzoru wartość :

Teraz musisz znaleźć wartość

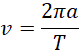
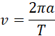
Prędkość obiektu w ruchu kołowym:

Podstaw do wyznaczonego wcześniej wzoru:

Poprzednie
Następne

Fizyka - wybrane pytania

Zadanie 13.16., strona 174, Fizyka. Klasa 7-8. Zbiór zadań - rozwiązania i odpowiedzi
Zadanie 8.1., strona 109, Fizyka. Klasa 7-8. Zbiór zadań - rozwiązania i odpowiedzi
Zadanie 3., strona 122, Fizyka. Klasa 7-8. Zbiór zadań - rozwiązania i odpowiedzi
Zadanie 2., strona 59, Świat fizyki. Klasa 8. Podręcznik - rozwiązania i odpowiedzi
Zadanie 6., strona 188, Odkryć fizykę. Klasa 2. Podręcznik. Zakres podstawowy - rozwiązania i odpowiedzi
Zadanie 1., strona 72, Fizyka. Klasa 1. Podręcznik. Zakres rozszerzony – rozwiązania i odpowiedzi
Pytanie Podejmij temat 9, strona 16, Fizyka. Klasa 8. Podręcznik - rozwiązania i odpowiedzi
Ćwiczenie 29.4, strona 139, Fizyka. Klasa 3. Zakres rozszerzony. Zbiór zadań - rozwiązania i odpowiedzi
Zadanie 5.122., strona 78, Fizyka. Klasa 7-8. Zbiór zadań - rozwiązania i odpowiedzi
Zadanie 4., strona 108, Odkryć fizykę. Klasa 2. Podręcznik. Zakres podstawowy - rozwiązania i odpowiedzi
REKLAMA
Skul
Zadania z tego działu
Zadania powtórzeniowe
217
Zestaw 1
218

Zadanie 1.1

218

Zadanie 1.2

218

Zadanie 1.3

218

Zadanie 1.4

218

Zadanie 2.1

219

Zadanie 2.2

219

Podpunkt a)

219

Podpunkt b)

219

Zadanie 3

219

Zadanie 4.1

221

Zadanie 4.2

221

Zadanie 4.3

221

Zadanie 5.1

222

Zadanie 5.2

222

Zadanie 6.1

223

Zadanie 6.2

223

Zadanie 7.1

224

Zadanie 7.2

223

Zadanie 8.1

224

Zadanie 8.2

225

Zadanie 8.3

225

Zadanie 9.1

226

Zadanie 9.2

227

Zadanie 10.1

227

Zadanie 10.2

227

Zadanie 11

227

Zadanie 12.1

228

Zadanie 12.2

228
Zestaw 2
229

Zadanie 1.1

229

Zadanie 1.2

230

Zadanie 2.1

231

Zadanie 2.2

231

Zadanie 3.1

232

Zadanie 3.2

232

Zadanie 3.3

232

Zadanie 4.1

232

Zadanie 4.2

223

Zadanie 5

233

Zadanie 6.1

234

Zadanie 6.2

235

Zadanie 6.3

235

Zadanie 7.1

235

Zadanie 7.2

236

Zadanie 7.3

236

Zadanie 8.1

237

Zadanie 8.2

237

Zadanie 8.3

237

Zadanie 8.4

238

Zadanie 9.1

238

Zadanie 9.2

238

Zadanie 10.1

239

Zadanie 10.2

239
Pełny spis treści
Skul
Artboard 1
Skul.pl
  • Napisz do nas
  • FAQ
  • Mapa Serwisu
  • Google Play
  • App Store

Korzystanie z portalu oznacza akceptację Regulaminu.
Polityka prywatności. Ustawienia preferencji. Copyright: INTERIA.PL 1999-2023 Wszystkie prawa zastrzeżone.