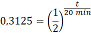
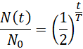
Statystyczne prawo rozpadu promieniotwórczego:
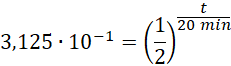
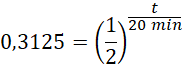
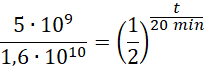
Podstaw wartości:
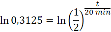
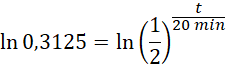
Użyj logarytmu dla obu stron równania. W zależności od tego jakie logarytmy potrafi liczyć twój kalkulator wstaw logarytm naturalny
W logarytmach możemy wyciągnąć wykładnik przed wyrażenie:
Wyciągnij t:
Oblicz logarytmy: