Skul.pl
  • Opracowania zadań z podręczników
  • Fizyka. Klasa 4. Poziom rozszerzony. Podręcznik - rozwiązania i odpowiedzi
  • Zadanie 10.2

Fizyka. Klasa 4. Poziom rozszerzony. Podręcznik - rozwiązania i odpowiedzi

Podręcznik, Wydawnictwo: WSiP
Poprzednie

Zadanie 10.2 - strona 227

Następne

Zadanie

W tym zadaniu musisz policzyć, jaką energię będzie miał foton promieniowana o podanej długości fali. Wynik zaokrąglij do 3 cyfr znaczących.

Rozwiązanie

Skul

Wyjaśnienie

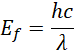
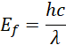
Wzór na energię fotonu:

Podstaw wartości:

Poprzednie
Następne

Fizyka - wybrane pytania

Zadanie 1., strona 155, Spotkania z fizyką. Klasa 8. Podręcznik - rozwiązania i odpowiedzi
Ćwiczenie 3., strona 82, Fizyka. Fizyka z plusem. Klasa 7. Podręcznik - rozwiązania i odpowiedzi
Zadanie 2., strona 75, Fizyka. Klasa 2. Podręcznik. Zakres rozszerzony – rozwiązania i odpowiedzi
Ćwiczenie 4.5, strona 35, Fizyka. Klasa 3. Zakres rozszerzony. Zbiór zadań - rozwiązania i odpowiedzi
Zadanie 5.29., strona 59, Fizyka. Klasa 7-8. Zbiór zadań - rozwiązania i odpowiedzi
Zadanie 40.11., strona 149, Zbiór zadań z fizyki dla szkoły podstawowej. Klasa 7-8 - rozwiązania i odpowiedzi
Zadanie 10.5.10., strona 215, Zrozumieć fizykę. Klasa 2. Zakres rozszerzony. Zbiór zadań - rozwiązania i odpowiedzi
Zadanie 11, strona 97, Fizyka. Klasy 1-3. Zakres podstawowy. Zbiór zadań - rozwiązania i odpowiedzi
Zadanie 32.1., strona 117, Zbiór zadań z fizyki dla szkoły podstawowej. Klasa 7-8 - rozwiązania i odpowiedzi
Zadanie 50.8., strona 184, Zbiór zadań z fizyki dla szkoły podstawowej. Klasa 7-8 - rozwiązania i odpowiedzi
REKLAMA
Skul
Zadania z tego działu
Zadania powtórzeniowe
217
Zestaw 1
218

Zadanie 1.1

218

Zadanie 1.2

218

Zadanie 1.3

218

Zadanie 1.4

218

Zadanie 2.1

219

Zadanie 2.2

219

Podpunkt a)

219

Podpunkt b)

219

Zadanie 3

219

Zadanie 4.1

221

Zadanie 4.2

221

Zadanie 4.3

221

Zadanie 5.1

222

Zadanie 5.2

222

Zadanie 6.1

223

Zadanie 6.2

223

Zadanie 7.1

224

Zadanie 7.2

223

Zadanie 8.1

224

Zadanie 8.2

225

Zadanie 8.3

225

Zadanie 9.1

226

Zadanie 9.2

227

Zadanie 10.1

227

Zadanie 10.2

227

Zadanie 11

227

Zadanie 12.1

228

Zadanie 12.2

228
Zestaw 2
229

Zadanie 1.1

229

Zadanie 1.2

230

Zadanie 2.1

231

Zadanie 2.2

231

Zadanie 3.1

232

Zadanie 3.2

232

Zadanie 3.3

232

Zadanie 4.1

232

Zadanie 4.2

223

Zadanie 5

233

Zadanie 6.1

234

Zadanie 6.2

235

Zadanie 6.3

235

Zadanie 7.1

235

Zadanie 7.2

236

Zadanie 7.3

236

Zadanie 8.1

237

Zadanie 8.2

237

Zadanie 8.3

237

Zadanie 8.4

238

Zadanie 9.1

238

Zadanie 9.2

238

Zadanie 10.1

239

Zadanie 10.2

239
Pełny spis treści
Skul
Artboard 1
Skul.pl
  • Napisz do nas
  • FAQ
  • Mapa Serwisu
  • Google Play
  • App Store

Korzystanie z portalu oznacza akceptację Regulaminu.
Polityka prywatności. Ustawienia preferencji. Copyright: INTERIA.PL 1999-2023 Wszystkie prawa zastrzeżone.