W tym zadaniu oblicz prędkość średnią dwuatomowych cząsteczek azotu, jeśli mają one temperaturę T = 300 K. Przyjmij masę molową azotu
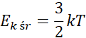
Średnia energia kinetyczna cząsteczki azotu wyraża się wzorem:
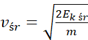
Średnia energia kinetyczna ruchu postępowego przypadająca na jedną cząsteczkę gazu jest opisana wzorem:
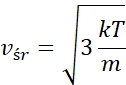
Po podstawieniu tej zależności do wzoru (1) otrzymujemy wzór na prędkość średnią cząsteczki azotu:
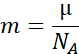
Masę jednej cząsteczki azotu możemy obliczyć, dzieląc masę molową azotu cząsteczkowego przez liczbę Avogadra:
Podstawiamy wyznaczoną wielkość do wzoru na średnią prędkość i otrzymujemy:
Wstawiamy wartości liczbowe do wzoru:
I otrzymujemy:
Odpowiedź: Prędkość średnia cząsteczki azotu w temperaturze 300K wynosi ok.
Średnią prędkość wyznaczamy z definicji energii kinetycznej, korzystamy ze wzoru na średnią energię kinetyczną ruchu postępowego cząsteczek gazu do obliczenia średniej energii kinetycznej. Masę jednej cząstki atomu obliczamy, dzieląc masę molową azotu cząsteczkowego przez liczbę Avogadra.
Przykład Przykład 1.
11Przykład Przykład 2.
12Przykład Przykład 3.
13Zadanie 7.1.2
14Zadanie 7.1.3
14Zadanie 7.1.5
15Zadanie 7.1.8
15Zadanie 7.1.9
15Przykład Przykład 1.
16Zadanie 7.2.1.
18Zadanie 7.2.3.
19Zadanie 7.2.12.
21Zadanie 7.2.13.
21Zadanie 7.3.2.
26Zadanie 7.4.1.
30Zadanie 7.4.11.
31Przykład Przykład 1.
32Przykład Przykład 3.
34Przykład Przykład 5.
37Zadanie 7.5.4.
38Zadanie 7.5.10.
39Zadanie 7.5.14.
40Zadanie 7.5.16.
40Zadanie 7.5.20.
41Zadanie 7.5.26.
42Przykład Przykład 1.
43Zadanie 7.6.2.
46Zadanie 7.6.6.
47Przykład Przykład 2.
49Zadanie 7.7.2.
52Zadanie 7.7.3.
52Zadanie 7.7.4.
53Zadanie 7.7.6.
53Przykład Przykład 1.
55Zadanie 7.8.7.
58Przykład Przykład. Gejzer
64Zadanie Zadanie 1. Śluza
66Zadanie Zadanie 2. Balon
67Zadanie Zadanie 3. Butla z gazem
67Zadanie Zadanie 4. Wartość energetyczna pożywienia
68